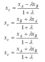
Абсцисса точки С, разбивающий отрезок АВ в отношении  , равна
 , равна 
 
Другие предметы Колледж Отношения отрезков линейная алгебра аналитическая геометрия колледж абсцисса точки отрезок АВ разбивание отрезка отношение отрезка координаты точки
Чтобы найти абсциссу точки C, которая разбивает отрезок AB в заданном отношении, мы можем воспользоваться формулой деления отрезка в заданном отношении. Предположим, что точка A имеет координаты (x1, y1), а точка B имеет координаты (x2, y2). Если точка C делит отрезок AB в отношении m:n, то ее абсцисса (xC) вычисляется по следующей формуле:
xC = (n * x1 + m * x2) / (m + n)
Теперь давайте рассмотрим шаги решения:
Не забудьте, что если у вас есть конкретные значения для A, B и отношение m:n, вы можете подставить их в формулу и получить точный результат.