Чему равна кинетическая энергия катящегося тела?

Другие предметы Колледж Кинетическая энергия кинетическая энергия катящееся тело физика колледж формула кинетической энергии механика энергия движения физические законы учебник физики
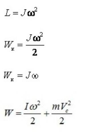
Кинетическая энергия катящегося тела определяется как сумма его трансляционной и вращательной кинетической энергии. Давайте рассмотрим, как это можно рассчитать.
1. **Трансляционная кинетическая энергия**:
2. **Вращательная кинетическая энергия**:
3. **Общая кинетическая энергия**:
Теперь, чтобы найти общую кинетическую энергию катящегося тела, нужно сложить трансляционную и вращательную кинетическую энергии:
EK = ТКЭ + ВКЭ4. **Момент инерции**:
5. **Угловая скорость**:
Теперь, подставив выражение для ω в формулу для ВКЭ, мы можем выразить общую кинетическую энергию через только линейную скорость и массу:
Таким образом, общая кинетическая энергия катящегося тела будет:
EK = (1/2) * m * v^2 + (1/4) * m * v^2 = (3/4) * m * v^2Это и есть кинетическая энергия катящегося тела! Надеюсь, это объяснение было полезным.