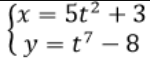
Дана функция, заданная параметрически: {x = 5t² + 3, y = t⁷ − 8. Найдите проихводную первого порядка. 
 
Другие предметы Колледж Параметрические функции и производные параметрическая функция производная первого порядка математика колледж нахождение производной функции x и y примеры задач по математике
Для того чтобы найти производную первого порядка параметрически заданной функции, нам нужно использовать правило дифференцирования параметрических уравнений. В этом случае у нас есть две функции:
Производная функции y по x (y') для параметрически заданной функции находится по формуле:
y' = (dy/dt) / (dx/dt)
Теперь найдем производные dx/dt и dy/dt:
Теперь можем подставить эти значения в формулу для y':
y' = (dy/dt) / (dx/dt) = (7t⁶) / (10t)
Упростим выражение:
y' = 0.7t⁵
Таким образом, производная первого порядка y' равна 0.7t⁵.