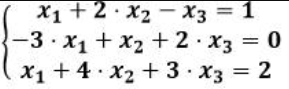
Дана система уравнений {x₁ + 2 ⋅ x₂ − x₃ = 1, −3 ⋅ x₁ + x₂ + 2 ⋅ x₃ = 0, x₁ + 4 ⋅ x₂ + 3 ⋅ x₃ = 2
Решая уравнение методом Гаусса, какие действия необходимо совершить?

Другие предметы Колледж Системы линейных уравнений система уравнений метод Гаусса расширенная матрица алгебраические преобразования эквивалентная система элементарные преобразования обратный ход Гаусса значения неизвестных математика колледж
Для решения данной системы уравнений методом Гаусса, давайте рассмотрим все шаги, которые необходимо выполнить.
Шаг 1: Записать расширенную матрицу системы.Сначала мы должны записать расширенную матрицу, которая включает в себя коэффициенты перед переменными и свободные члены. Для данной системы уравнений:
Расширенная матрица будет выглядеть следующим образом:
[ 1 2 -1 | 1 ]
[ -3 1 2 | 0 ]
[ 1 4 3 | 2 ]
Шаг 2: Выполнить элементарные преобразования.Теперь мы будем использовать элементарные преобразования для приведения матрицы к верхнетреугольному виду. Элементарные преобразования включают:
Начнем с первой строки. Мы можем использовать первую строку, чтобы обнулить первый элемент во второй строке:
Ко второй строке добавим 3 * первую строку:
[ 1 2 -1 | 1 ]
[ 0 7 -1 | 3 ]
[ 1 4 3 | 2 ]
Теперь обнулим первый элемент в третьей строке, вычтя первую строку из третьей:
[ 1 2 -1 | 1 ]
[ 0 7 -1 | 3 ]
[ 0 2 4 | 1 ]
Далее, можно обнулить элемент во второй строке, используя вторую строку:
К третьей строке вычтем (2/7) * вторую строку:
[ 1 2 -1 | 1 ]
[ 0 7 -1 | 3 ]
[ 0 0 4/7 | -5/7 ]
Шаг 3: Получить эквивалентную систему уравнений.Теперь мы можем записать эквивалентную систему уравнений на основе полученной матрицы:
Теперь мы можем выразить переменные через свободные члены, начиная с последнего уравнения:
Из третьего уравнения: x₃ = -5/4.
Подставим значение x₃ во второе уравнение:
7x₂ + 5/4 = 3, откуда x₂ = (3 - 5/4)/7.
Теперь подставим x₂ в первое уравнение, чтобы найти x₁.
Таким образом, мы нашли значения всех переменных x₁, x₂ и x₃.
В итоге, правильный путь решения данной системы уравнений методом Гаусса включает в себя: