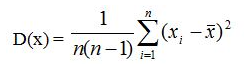
Дана выборка х = (x1, x2,...xп). Несмещенную оценку дисперсии этой выборки можно найти по формуле:



Другие предметы Колледж Статистика математический анализ колледж выборка несмещенная оценка дисперсия формула дисперсии статистика методы анализа оценка параметров теоретическая статистика
Чтобы найти несмещенную оценку дисперсии выборки, необходимо следовать определённым шагам. Давайте разберем, как это сделать.
Дисперсия выборки - это мера разброса значений в выборке относительно её среднего значения. Несмещенная оценка дисперсии обозначается как S² и рассчитывается по следующей формуле:
S² = (1 / (n - 1)) * Σ (xi - x̄)²
Где:
Теперь давайте рассмотрим шаги, которые необходимо выполнить для вычисления несмещенной оценки дисперсии:
Таким образом, вы получите несмещенную оценку дисперсии вашей выборки. Этот метод позволяет учитывать, что выборка является частью более широкой популяции, и корректирует оценку дисперсии, чтобы избежать систематической ошибки.