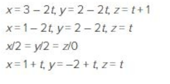
Дано: А(1;2;0), В (-1;0;1). Найти уравнение прямой АВ: 
 
 Варианты ответа: 
 
Другие предметы Колледж Уравнения прямой в пространстве линейная алгебра аналитическая геометрия колледж уравнение прямой задачи по линейной алгебре векторы координаты точек геометрия в колледже
Чтобы найти уравнение прямой, проходящей через две точки в пространстве, нам нужно использовать координаты этих точек. В данном случае у нас есть точки A(1; 2; 0) и B(-1; 0; 1).
Шаги для нахождения уравнения прямой AB:
Таким образом, у нас есть уравнение прямой AB как в параметрической, так и в симметрической форме. Вы можете выбрать тот формат, который вам нужен для дальнейшей работы.