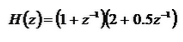
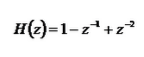
Даны передаточные функции фильтров, выберите только КИХ фильтры 
 
 






Другие предметы Колледж Цифровые фильтры Цифровая обработка сигналов КИХ фильтры передаточные функции выбор фильтров колледж ЦОС
Чтобы определить, какие из передаточных функций относятся к КИХ (конечная импульсная характеристика) фильтрам, необходимо понимать основные характеристики этих фильтров. КИХ фильтры имеют конечную импульсную характеристику, что означает, что их выход на импульсное воздействие имеет конечную длительность. В отличие от БИХ (бесконечная импульсная характеристика) фильтров, у КИХ фильтров нет обратной связи.
Вот шаги, которые помогут вам определить, какие из передаточных функций относятся к КИХ фильтрам:
Таким образом, для выбора КИХ фильтров из набора передаточных функций, ищите те, которые:
Если у вас есть конкретные передаточные функции, которые вы хотите проанализировать, вы можете применить эти шаги к каждой из них, чтобы определить, какие из них являются КИХ фильтрами.