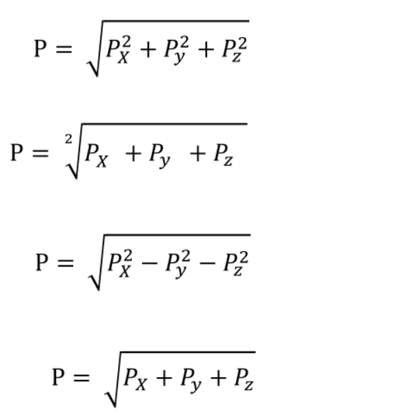
формула для определения суммарной силы гидростатического давления на криволинейную поверхность , погруженную в жидкость имеет вид ....
где Рх, Ру, Pz - составляющие силы давления по координатным осям

Другие предметы Колледж Гидростатическое давление гидравлические машины суммарная сила гидростатическое давление криволинейная поверхность формула давления жидкости координатные оси Рх ру Pz
Формула для определения суммарной силы гидростатического давления на криволинейную поверхность, погруженную в жидкость, основывается на интеграции давления по всей поверхности. Гидростатическое давление в жидкости зависит от глубины погружения и плотности жидкости. Основная формула выглядит следующим образом:
F = ∫∫ P dA
где:
Гидростатическое давление можно выразить через высоту столба жидкости:
P = ρgh
где:
Теперь, чтобы найти суммарную силу гидростатического давления, нужно учитывать направления сил по координатным осям (Рх, Ру, Pz). Для этого можно разложить силу на составляющие:
Для нахождения каждой из составляющих можно использовать проекции на соответствующие оси:
Таким образом, суммарная сила гидростатического давления может быть представлена как векторная сумма всех составляющих:
F = Рх + Ру + Pz
Эти шаги помогут вам более глубоко понять, как рассчитывается суммарная сила гидростатического давления на криволинейную поверхность, погруженную в жидкость.