Формула Байеса — это важный инструмент в теории вероятностей, который позволяет обновлять вероятность события на основе новой информации. Она названа в честь английского математика Томаса Байеса.
Формула Байеса записывается следующим образом:
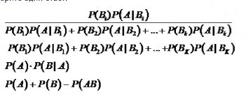
P(A|B) = (P(B|A) * P(A)) / P(B)
Где:
    - P(A|B) — это условная вероятность события A при условии, что произошло событие B.
- P(B|A) — это условная вероятность события B при условии, что произошло событие A.
- P(A) — это априорная вероятность события A, то есть вероятность A до получения информации о B.
- P(B) — это полная вероятность события B, которая может быть рассчитана как сумма вероятностей B при всех возможных A.
Теперь давайте рассмотрим, как использовать формулу Байеса на примере:
    - Предположим, у нас есть два события: A — это наличие болезни, а B — это положительный результат теста.
- Допустим, что:
        - P(A) = 0.01 (1% людей больны)
- P(B|A) = 0.9 (тест правильно определяет болезнь в 90% случаев)
- P(B|¬A) = 0.05 (тест ошибочно показывает положительный результат у здоровых людей в 5% случаев)
- Сначала нам нужно найти P(B), полную вероятность положительного теста:
        - P(B) = P(B|A) * P(A) + P(B|¬A) * P(¬A)
- Где P(¬A) — это вероятность того, что человек не болен, что равно 1 - P(A) = 0.99.
- Таким образом, P(B) = 0.9 * 0.01 + 0.05 * 0.99 = 0.009 + 0.0495 = 0.0585.
- Теперь мы можем использовать формулу Байеса для нахождения P(A|B):
        - P(A|B) = (P(B|A) * P(A)) / P(B)
- P(A|B) = (0.9 * 0.01) / 0.0585 ≈ 0.1538.
- Это означает, что даже если тест положительный, вероятность того, что человек действительно болен, составляет примерно 15.38%.
Таким образом, формула Байеса помогает нам делать более обоснованные выводы, основываясь на доступной информации и вероятностях.