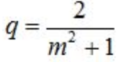
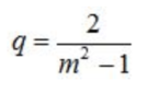
Какое соотношение является правильным? 
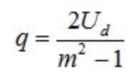
 Коэффициент пульсации выпрямленного напряжения без фильтра определяется как:



Другие предметы Колледж Выпрямление и фильтрация напряжения промышленная электроника колледж коэффициент пульсации выпрямленное напряжение без фильтра правильное соотношение
Коэффициент пульсации выпрямленного напряжения без фильтра - это важный параметр, который характеризует качество выпрямленного сигнала. Он показывает, насколько сильно изменяется выпрямленное напряжение во времени. Рассмотрим, как определить этот коэффициент.
Определение коэффициента пульсации:
Где:
Шаги для вычисления коэффициента пульсации:
Таким образом, коэффициент пульсации даст вам представление о том, насколько стабильно выпрямленное напряжение, и поможет оценить необходимость фильтрации для улучшения качества сигнала.