Какое соотношение является правильным?
Коэффициент трансформации трансформатора определяется как:



Другие предметы Колледж Трансформаторы схемотехника колледж коэффициент трансформации Трансформатор правильное соотношение
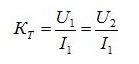
Коэффициент трансформации трансформатора является важным параметром, который характеризует отношение между напряжениями на первичной и вторичной обмотках трансформатора. Давайте разберем, как его определить и что он означает.
Определение коэффициента трансформации:
Формула для расчета коэффициента трансформации выглядит следующим образом:
Где:
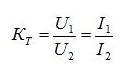
Таким образом, коэффициент трансформации показывает, во сколько раз изменяется напряжение при прохождении через трансформатор. Если, например, K больше 1, это означает, что трансформатор повышает напряжение, а если K меньше 1, то трансформатор понижает напряжение.
Важно помнить, что коэффициент трансформации также может быть связан с числом витков на обмотках трансформатора:
Где:
Таким образом, коэффициент трансформации также может быть выражен через соотношение числа витков, что даёт нам дополнительное понимание работы трансформатора.