Какое соотношение является правильным? 
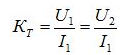
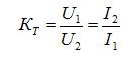
 Коэффициент трансформации трансформатора определяется как:



Другие предметы Колледж Трансформаторы промышленная электроника колледж трансформатор коэффициент трансформации соотношение трансформатора обучение промышленной электронике специальность промышленная электроника
Коэффициент трансформации трансформатора — это важный параметр, который показывает, как изменяется напряжение при передаче энергии через трансформатор. Он определяется как соотношение между первичным и вторичным напряжением трансформатора.
Формула для определения коэффициента трансформации (K) выглядит следующим образом:
K = U1 / U2
Где:
Таким образом, если у вас есть трансформатор с первичным напряжением 220 В и вторичным напряжением 110 В, то коэффициент трансформации будет равен:
Это означает, что трансформатор понижает напряжение в 2 раза.
Важно помнить, что коэффициент трансформации также может быть выражен в виде соотношения между количеством витков обмоток:
K = N1 / N2
Где:
Таким образом, коэффициент трансформации трансформатора может быть определен как по напряжению, так и по количеству витков обмоток. Это соотношение позволяет понять, как трансформатор изменяет напряжение в электрической цепи.