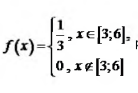
Математическое ожидание случайной величины с плотностью распределения равно 
 
Другие предметы Колледж Теория вероятностей математическое ожидание случайная величина плотность распределения дополнительные главы математики колледж статистика теория вероятностей
Чтобы найти математическое ожидание случайной величины с заданной плотностью распределения, необходимо следовать определенным шагам. Давайте разберем этот процесс более подробно.
Шаги для нахождения математического ожидания:Пример:
Предположим, что у нас есть случайная величина X с плотностью распределения f(x) = 2x для 0 ≤ x ≤ 1 и 0 в противном случае. Тогда:
Таким образом, математическое ожидание E(X) равно 2/3.
Если у вас есть конкретная функция плотности, напишите ее, и я помогу вам рассчитать математическое ожидание!