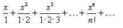
Найдите интервал сходимости ряда 
Другие предметы Колледж Интервалы сходимости рядов интервал сходимости ряд математический анализ колледж задачи по математическому анализу
Для нахождения интервала сходимости ряда, давайте рассмотрим общий подход, который можно использовать в большинстве случаев. Допустим, у нас есть ряд вида:
Сумма (n=0 до бесконечности) a_n * x^n
Где a_n - это коэффициенты ряда, а x - переменная. Мы будем использовать радиус сходимости, чтобы определить интервал сходимости.
Вот шаги, которые нужно выполнить:
После выполнения всех этих шагов, вы получите полный интервал сходимости вашего ряда. Если у вас есть конкретный ряд, который вы хотите проанализировать, пожалуйста, предоставьте его, и я помогу вам решить задачу более детально!