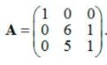
Найти обратную матрицы для матрицы:
Варианты ответа:

Другие предметы Колледж Обратные матрицы обратная матрица линейная алгебра аналитическая геометрия колледж матрицы вычисление обратной матрицы учебные материалы задачи по линейной алгебре
Чтобы найти обратную матрицу для данной матрицы, необходимо следовать определенным шагам. Давайте рассмотрим процесс на примере матрицы 2x2, так как он является наиболее простым. Если у вас есть матрица большего размера, процедура будет несколько сложнее, но основные принципы останутся теми же.
Шаги для нахождения обратной матрицы 2x2:
Пример:
Рассмотрим матрицу A = [[2, 3], [1, 4]].
Таким образом, обратная матрица для A = [[2, 3], [1, 4]] будет:
A-1 = [[4/5, -3/5], [-1/5, 2/5]].
Если у вас есть конкретная матрица, для которой нужно найти обратную, просто подставьте значения в формулы, следуя описанным шагам.