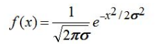
Нормальным (гауссовым) распределением вероятностей непрерывной случайной величины X называется распределение с плотностью вероятностей:




Другие предметы Колледж Нормальное распределение вероятностей нормальное распределение гауссово распределение плотность вероятностей случайная величина математический анализ колледж статистика теория вероятностей
Нормальное (гауссово) распределение является одним из наиболее важных распределений в статистике и теории вероятностей. Оно описывает, как значения непрерывной случайной величины распределены относительно среднего значения. Плотность вероятности нормального распределения задается следующей формулой:
Формула плотности вероятности:
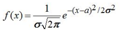
f(x) = (1 / (σ * √(2π))) * exp(-((x - μ)²) / (2σ²))
Где:
Для понимания нормального распределения важно учитывать следующие характеристики:
Таким образом, нормальное распределение является ключевым понятием в статистике, и его понимание позволяет анализировать множество реальных данных, которые подчиняются этому распределению.