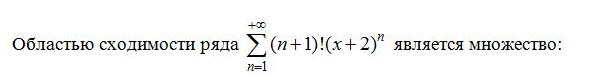
Для определения области сходимости ряда с членами вида E(n+1)!(x+2), нужно рассмотреть, как зависит этот ряд от переменной x. Рассмотрим шаги, которые помогут нам найти область сходимости.
- Запишем ряд: Мы имеем ряд вида:
- Применим тест Даламбера (или тест на сходимость рядов): Для ряда с общим членом a_n = E(n+1)!(x+2) мы можем использовать тест Даламбера, который гласит, что ряд сходится, если:
- lim (n → ∞) |a_(n+1)/a_n| < 1.
- Найдем a_(n+1) и a_n: Подставим в формулу:
- a_n = E(n+1)!(x+2)
- a_(n+1) = E(n+2)!(x+2)
- Вычислим отношение: Теперь найдем отношение |a_(n+1)/a_n|:
- |a_(n+1)/a_n| = |E(n+2)!(x+2) / E(n+1)!(x+2)| = |E(n+2)/(n+1)|.
- Вычислим предел: Теперь вычислим предел при n стремящемся к бесконечности:
- lim (n → ∞) |E(n+2)/(n+1)| = lim (n → ∞) |(n+2)(x+2)/(n+1)|.
- Анализ предела: Если x+2 является константой, то этот предел будет равен 1, что не дает нам информации о сходимости. Поэтому нужно учитывать, что ряд может сходиться только при определенных значениях x.
- Определим область сходимости: Мы должны найти такие x, что |x+2| < 1. Это значит:
- -1 < x + 2 < 1.
- Таким образом, -3 < x < -1.
- Запишем окончательную область сходимости: Мы получаем, что ряд сходится на интервале:
Таким образом, областью сходимости данного ряда является интервал (-3, -1).