Образуют ли базис в R3 :
Другие предметы Колледж Базисы в векторных пространствах линейная алгебра аналитическая геометрия базис в R3 матричные операции векторы пространство R3 линейная независимость системы уравнений геометрические преобразования колледж учебные материалы задачи по линейной алгебре
Чтобы определить, образуют ли заданные векторы базис в R3 (трехмерном пространстве), необходимо проверить, являются ли они линейно независимыми. Линейная независимость векторов означает, что ни один из векторов не может быть представлен как линейная комбинация других векторов.
Рассмотрим следующие шаги для проверки линейной независимости векторов:
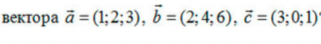
Например, пусть у нас есть векторы:
Составим матрицу:
Теперь найдем определитель этой матрицы:
Так как определитель не равен нулю, векторы v1, v2 и v3 линейно независимы и образуют базис в R3.
Если у вас есть конкретные векторы, которые нужно проверить, пожалуйста, напишите их, и я помогу вам с решением!