Определить как ведет себя метод простой итерации для линейной системы. 
 
Другие предметы Колледж Метод простой итерации для линейных систем метод простой итерации линейная система сходимость расходится вычислительные методы колледж анализ методов итерационные методы решение уравнений численные методы
Метод простой итерации является одним из методов численного решения линейных систем уравнений. Для того чтобы понять, как он себя ведет, необходимо рассмотреть несколько ключевых моментов.
1. Условия сходимости методаМетод простой итерации будет сходиться, если матрица системы удовлетворяет определенным условиям. В частности, для линейной системы Ax = b, где A - матрица коэффициентов, x - вектор неизвестных, b - вектор свободных членов, необходимо:
Метод простой итерации заключается в преобразовании исходной системы уравнений к итерационной форме:
Для анализа сходимости метода можно использовать спектральный радиус матрицы итерационного процесса:
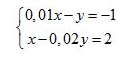
Рассмотрим пример. Пусть у нас есть система уравнений:
Мы можем выразить x1 и x2 через итерационные формулы:
Затем мы начинаем итерации, подставляя начальные значения, например, x1 = 0, x2 = 0, и продолжаем до тех пор, пока разность между последовательными итерациями не станет достаточно малой.
ВыводВ заключение, метод простой итерации может быть эффективным для решения линейных систем, но важно проверить условия сходимости перед его применением. Если условия не выполняются, то метод может не только не сходиться, но и расходиться, что приведет к неверным результатам.