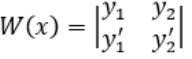
Определитель вида W(x) =│(y₁, y₂), (y'₁, y'₂)│ для двух дифференцируемых функций y₁ = y₁(x) и y₂ = y₂(x) называется определителем … 
 
Другие предметы Колледж Определитель Вронского определитель виды определителей функции дифференцируемые функции Коши Вронский Лейбниц математика колледж
Определитель вида W(x) = |(y₁, y₂), (y'₁, y'₂)| называется определителем Вронского. Этот определитель используется в математике, особенно в теории дифференциальных уравнений, для изучения линейной зависимости решений.
Чтобы понять, как он работает, давайте рассмотрим шаги, связанные с вычислением определителя Вронского:
Таким образом, определитель Вронского позволяет нам определить, являются ли функции y₁ и y₂ линейно независимыми. Если W(x) не равно нулю для некоторого x, то функции линейно независимы.