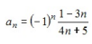
Предел числовой последовательности
Выберите один ответ:
Другие предметы Колледж Пределы числовых последовательностей предел числовой последовательности высшая математика колледж математический анализ числовые последовательности пределы задачи по математике
Чтобы понять, как найти предел числовой последовательности, давайте рассмотрим, что такое предел последовательности и как его вычислить.
Предел последовательности – это значение, к которому стремится последовательность, когда номер её члена стремится к бесконечности. Мы можем рассмотреть различные типы последовательностей, и в данном случае нам необходимо определить, какой из предложенных вариантов правильный.
Рассмотрим каждый из предложенных вариантов:
Теперь, чтобы выбрать правильный ответ, необходимо знать конкретную формулу последовательности. Если вы можете предоставить формулу последовательности, я смогу помочь вам более точно определить предел. Если же такой информации нет, то правильный ответ может быть только предположительным.
Если у вас есть дополнительные данные или конкретная формула последовательности, пожалуйста, поделитесь ими, и я помогу вам найти предел!