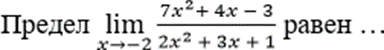
Предел lim 7х2+4х-3 X-2 2x2 + 3x + 1 равен ... 
 
Другие предметы Колледж Пределы функций предел функции математика колледж предел lim вычисление предела алгебраические пределы
Чтобы найти предел функции при x, стремящемся к 2, нам нужно подставить значение x = 2 в числитель и знаменатель функции. Однако, если подстановка приводит к неопределенности (например, 0/0), мы должны использовать другие методы, такие как факторизация или правило Лопиталя.
Давайте начнем с подстановки x = 2 в выражение:
Подставляем x = 2:
Теперь у нас есть:
lim (7x² + 4x - 3) / (2x² + 3x + 1) при x → 2 = 33 / 15.
Теперь упростим дробь:
33 / 15 = 11 / 5.
Таким образом, предел равен:
11/5