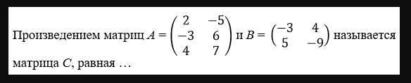
Произведением матриц A = ((2, −5), (−3, 6), (4, 7)) и B = ((−3, 4), (5, −9)) называется матрица C, равная … @4,1.pngТип ответа: Одиночный выбор • с выбором одного правильного ответа из нескольких предложенных вариантов 
Другие предметы Колледж Умножение матриц произведение матриц матрицы A и B матрица C математика колледж линейная алгебра задания по математике вычисление матриц
Чтобы найти произведение матриц A и B, необходимо выполнить матричное умножение. Матрица A имеет размер 3x2, а матрица B имеет размер 2x2. Произведение этих матриц будет матрицей C размером 3x2.
Шаги для вычисления произведения матриц:
Теперь вычислим элементы матрицы C:
Таким образом, матрица C будет:
Это и есть произведение матриц A и B.