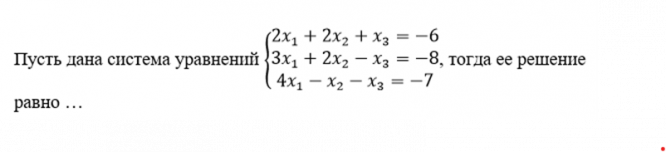
Пусть дана система уравнений 33x1 + 2x2 - x3 = -8, тогда ее решение 4х1-x2 - X3 = -7
равно ...
![]()
Другие предметы Колледж Системы линейных уравнений система уравнений решение уравнений математика колледж линейные уравнения algebra математические задачи колледж математика нахождение решений математические системы
Для решения данной системы уравнений, сначала запишем оба уравнения:
Теперь мы можем использовать метод подстановки или метод исключения для нахождения значений переменных x1, x2 и x3. Однако, в данном случае мы можем попробовать выразить одну переменную через другие и подставить в другое уравнение.
Начнем с первого уравнения и выразим x3:
Теперь подставим это выражение для x3 во второе уравнение:
Теперь у нас есть новое уравнение:
Теперь мы можем выразить x2 через x1:
Теперь у нас есть выражение для x2. Подставим его обратно в выражение для x3:
Теперь мы можем найти значения x1, x2 и x3, подставляя различные значения для x1 и решая уравнения. Однако, чтобы найти конкретное решение, необходимо больше информации или условий. Если у вас есть дополнительные условия или ограничения, пожалуйста, предоставьте их, и я помогу вам найти конкретное решение.