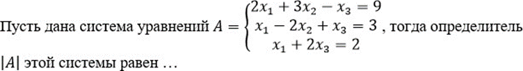
Пусть дана система уравнений A = } x1 - 2x2 + x3 = 3, тогда определитель (2x1 + 3x2x2 = 9 
 [4] этой системы равен ... 
 x1 +2х3=2 
  
Другие предметы Колледж Системы линейных уравнений система уравнений определитель математика колледж линейная алгебра решения уравнений матричная теория
Для начала, давайте запишем систему уравнений в матричной форме. У нас есть три уравнения:
Мы можем представить эту систему в виде матрицы коэффициентов и вектора свободных членов:
Коэффициенты:
| 1 -2 1 | | 2 3 0 | | 1 0 2 |
Свободные члены:
| 3 | | 9 | | 2 |
Теперь мы можем найти определитель матрицы коэффициентов. Определитель 3x3 матрицы можно найти по формуле:
D = a(ei - fh) - b(di - fg) + c(dh - eg)
Где:
Теперь подставим значения в формулу для определения:
Теперь подставим эти значения в формулу для определения:
D = 1*(6) - (-2)*(4) + 1*(-3) = 6 + 8 - 3 = 11
Таким образом, определитель данной системы уравнений равен 11.