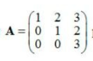
Ранг матрицы (изображена ниже) равен: 
 
Другие предметы Колледж Ранг матрицы линейная алгебра аналитическая геометрия колледж ранг матрицы матричные операции свойства матриц учебные материалы задачи по линейной алгебре решение задач математические понятия
Чтобы определить ранг матрицы, нужно следовать определённым шагам. Ранг матрицы - это максимальное количество линейно независимых строк или столбцов в данной матрице. Давайте рассмотрим, как мы можем найти ранг матрицы, даже если она не представлена здесь.
Теперь, если вы говорите, что ранг матрицы равен 203, это может означать, что в вашей матрице есть 203 линейно независимых строки или столбца. Однако для проверки этого утверждения необходимо проделать описанные выше шаги с конкретной матрицей.
Если у вас есть матрица, которую вы хотите проанализировать, пожалуйста, предоставьте её, и я помогу вам найти её ранг.