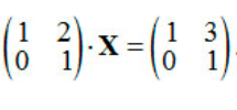
Чтобы решить матричное уравнение, нам необходимо знать его конкретный вид. Однако я могу объяснить общие шаги, которые помогут вам в решении подобных уравнений. Давайте рассмотрим общий подход к решению матричных уравнений.
Шаги для решения матричного уравнения:
- Определите уравнение: Прежде всего, запишите матричное уравнение в явном виде. Например, это может быть уравнение вида AX = B, где A и B - известные матрицы, а X - матрица, которую нужно найти.
- Проверьте размерности матриц: Убедитесь, что размерности матриц согласуются. Например, если A - матрица размерности m x n, то X должна быть размерности n x p, а матрица B должна быть размерности m x p.
- Найдите обратную матрицу (если возможно): Если матрица A квадратная и невырожденная, найдите ее обратную матрицу A^(-1). Это можно сделать, используя различные методы, такие как метод Гаусса или формулы для 2x2 и 3x3 матриц.
- Умножьте обе стороны уравнения на обратную матрицу: Если A^(-1) существует, умножьте обе стороны уравнения на A^(-1) слева: A^(-1)AX = A^(-1)B. Это упростит уравнение до X = A^(-1)B.
- Вычислите результат: Найдите произведение A^(-1)B, чтобы получить матрицу X.
- Проверьте результат: Подставьте найденное значение X обратно в исходное уравнение, чтобы убедиться, что оно выполняется.
Если у вас есть конкретное матричное уравнение, пожалуйста, предоставьте его, и я помогу вам решить его, следуя вышеописанным шагам.