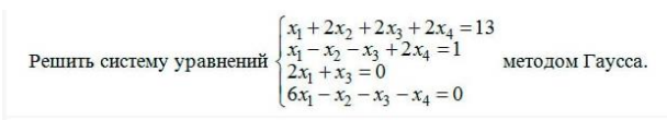
Решить систему уравнений (x1+2x2+2x3+2x4=13 x1-x2-x3+2x4=1 2x1+x3=0 6x1-x2- x2-x4=0) методом Гаусса. 
Другие предметы Колледж Системы линейных уравнений линейная алгебра аналитическая геометрия система уравнений метод Гаусса решение уравнений колледж математические методы векторы матрицы учебные пособия
Для решения данной системы уравнений методом Гаусса, мы сначала запишем систему в виде расширенной матрицы. Система уравнений выглядит следующим образом:
Теперь запишем расширенную матрицу:
| 1 2 2 2 | 13 | | 1 -1 -1 2 | 1 | | 2 0 1 0 | 0 | | 6 -2 -2 -1 | 0 |
Теперь будем приводить матрицу к ступенчатому виду. Начнем с первой строки. Мы можем вычесть первую строку из второй:
| 1 2 2 2 | 13 | | 0 -3 -3 0 | -12 | | 2 0 1 0 | 0 | | 6 -2 -2 -1 | 0 |
Теперь вычтем 2 умноженные на первую строку из третьей строки:
| 1 2 2 2 | 13 | | 0 -3 -3 0 | -12 | | 0 -4 -3 -4 | -26 | | 6 -2 -2 -1 | 0 |
И вычтем 6 умноженные на первую строку из четвертой строки:
| 1 2 2 2 | 13 | | 0 -3 -3 0 | -12 | | 0 -4 -3 -4 | -26 | | 0 -14 -14 -13 | -78 |
Теперь у нас есть матрица, которую нужно упростить дальше. Начнем со второй строки. Мы можем умножить вторую строку на -1/3:
| 1 2 2 2 | 13 | | 0 1 1 0 | 4 | | 0 -4 -3 -4 | -26 | | 0 -14 -14 -13 | -78 |
Теперь добавим 4 умноженные на вторую строку к третьей строке:
| 1 2 2 2 | 13 | | 0 1 1 0 | 4 | | 0 0 1 -4 | -10 | | 0 -14 -14 -13 | -78 |
И добавим 14 умноженные на вторую строку к четвертой строке:
| 1 2 2 2 | 13 | | 0 1 1 0 | 4 | | 0 0 1 -4 | -10 | | 0 0 0 -13 | -6 |
Теперь мы можем выразить переменные, начиная с последней строки. Из четвертой строки имеем:
0 = -6, что является противоречием. Это означает, что система уравнений несовместна.
Таким образом, у данной системы нет решений.