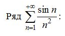
Ряд 
  
 
 
Другие предметы Колледж Ряды и последовательности ряд сходится расходится математический ряд условия сходимости анализ рядов
Чтобы определить, сходится или расходится ряд, нужно рассмотреть несколько важных шагов и критериев. Давайте подробно разберем этот процесс.
1. Понимание ряда:Ряд - это сумма последовательности чисел. Например, ряд вида a1 + a2 + a3 + ... + an. Мы хотим понять, будет ли сумма этих чисел стремиться к какому-то конечному значению (сходиться) или бесконечно увеличиваться (расходиться).
2. Проверка на сходимость:Существует несколько критериев, которые помогают определить, сходится ряд или расходится. Вот некоторые из них:
Рассмотрим ряд 1/n. Мы можем использовать критерий сравнения с рядом 1/n^2, который сходится. Поскольку 1/n > 1/n^2 для всех n, и ряд 1/n^2 сходится, то ряд 1/n расходится.
4. Заключение:Определение сходимости или расходимости ряда требует применения различных методов и критериев. Важно тщательно анализировать каждый ряд и использовать подходящие методы для получения правильного результата.
Если у вас есть конкретный ряд, который вы хотите проанализировать, пожалуйста, напишите его, и я помогу вам с решением!