
Другие предметы Колледж Сходящиеся и расходящиеся последовательности и ряды математика колледж задачи по математике алгебра для колледжа геометрия колледж математический анализ теория вероятностей подготовка к экзаменам учебные материалы математика курсы математики колледж онлайн-уроки математики
Понятия "сходится" и "расходится" в математике обычно относятся к последовательностям и рядам. Давайте разберем каждое из них более подробно.
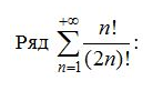
СходимостьПоследовательность или ряд сходится, если его элементы приближаются к какому-то фиксированному значению по мере увеличения номера элемента. Это значение называется пределом.
Последовательность или ряд расходится, если его элементы не приближаются к какому-либо фиксированному значению. Это означает, что значения могут либо возрастать до бесконечности, либо колебаться без определенного предела.
Теперь давайте рассмотрим, как определить, сходится ли последовательность или ряд:
Важно помнить, что сходимость и расходимость - это ключевые концепции в математике, особенно в анализе, и их понимание поможет вам в дальнейшем изучении темы.