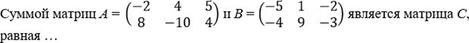
Суммой матриц 4 =и8-104) B=(-*-5 1-2)-4 9 -3.3)-24
является матрица С, равная ...

Другие предметы Колледж Сумма матриц сумма матриц матрицы 4 матрица С математика колледж линейная алгебра вычисление матриц задачи по математике
Для нахождения суммы матриц A и B, давайте сначала запишем их в более понятном виде. У вас есть матрица A и матрица B:
Матрица A:
Матрица B:
Теперь мы можем сложить соответствующие элементы этих матриц. Сумма матриц осуществляется по следующему правилу: каждый элемент матрицы C, которая является результатом сложения, равен сумме соответствующих элементов матриц A и B.
Теперь давайте сложим матрицы поэлементно:
Теперь мы можем записать полученную матрицу C:
Таким образом, матрица C, равная сумме матриц A и B, будет: