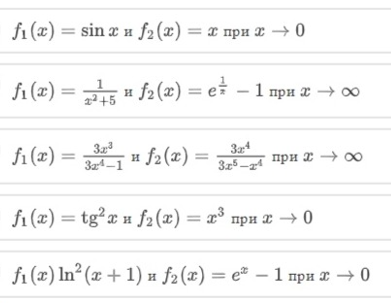
Указать, какие из данных пар функций являются эквивалентными бесконечно малыми.

Другие предметы Колледж Эквивалентные бесконечно малые функции эквивалентные бесконечно малые функции математический анализ колледж пары функций свойства бесконечно малых анализ функций
Чтобы определить, какие пары функций являются эквивалентными бесконечно малыми, нужно вспомнить, что две функции f(x) и g(x) являются эквивалентными бесконечно малыми при x, стремящемся к некоторой точке (например, к нулю), если их отношение стремится к 1. То есть:
Определение: Функции f(x) и g(x) эквивалентны бесконечно малыми, если:
lim (x -> a) f(x)/g(x) = 1.
Теперь давайте рассмотрим шаги, которые помогут вам проверить эквивалентность функций:
Теперь, чтобы помочь вам с конкретными примерами, пожалуйста, предоставьте пары функций, которые вы хотите проверить на эквивалентность бесконечно малыми. Я с удовольствием проведу анализ для каждой из них!