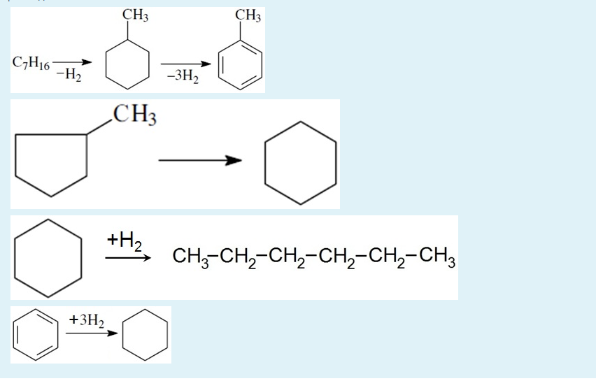
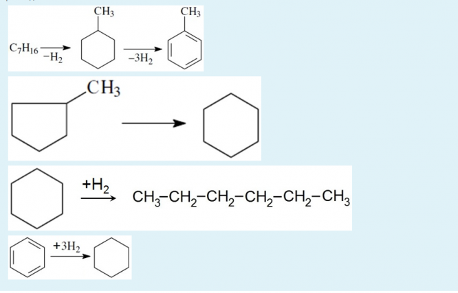
В процессе каталитического риформинга протекают реакции: (4б из 6 б.) 
  
Другие предметы Колледж Каталитический риформинг каталитический риформинг технологии переработки нефти реакции риформинга глубинная переработка нефтехимические процессы колледж нефтяной технологии
Каталитический риформинг - это процесс, который используется в нефтепереработке для преобразования низкооктановых углеводородов в высокооктановые компоненты бензина. В этом процессе происходят несколько ключевых реакций. Давайте рассмотрим основные из них:
Каждая из этих реакций играет важную роль в процессе каталитического риформинга, обеспечивая получение высококачественного бензина с высоким октановым числом, что критически важно для современных двигателей внутреннего сгорания.
Если у вас есть дополнительные вопросы по этому процессу или вы хотите узнать о других аспектах технологии глубокой переработки нефти, не стесняйтесь спрашивать!