Вам необходимо определить проницаемость удаленной зоны пласта. Как это сделать с помощью кривой восстановления давления (КВД), общий вид которой показан на рисунке?

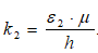
. С учетом толщины пласта и вязкости жидкости определяется проницаемость 
. С учетом толщины пласта и вязкости жидкости определяется проницаемость 
Другие предметы Колледж Определение проницаемости пласта по кривой восстановления давления (КВД) гидравлика нефтегазовая гидромеханика проницаемость пласта кривая восстановления давления угловой коэффициент дебит скважины гидропроводность вязкость жидкости расчет проницаемости колледж гидравлика
Определение проницаемости удаленной зоны пласта с помощью кривой восстановления давления (КВД) является важным этапом в гидравлических исследованиях. Давайте разберем этот процесс шаг за шагом.
Шаг 1: Анализ кривой восстановления давленияТаким образом, используя кривую восстановления давления и проводя соответствующие расчеты, вы сможете определить проницаемость удаленной зоны пласта. Этот метод помогает оценить характеристики пласта и оптимизировать добычу углеводородов.