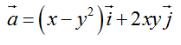
Вычислить циркуляцию векторного поля  по контуру L :y = x;y = x2 применяя формулу Грина
 по контуру L :y = x;y = x2 применяя формулу Грина
Другие предметы Колледж Циркуляция векторного поля и формула Грина циркуляция векторного поля Формула Грина контур L математика колледж вычисление циркуляции
Для вычисления циркуляции векторного поля по контуру L с использованием формулы Грина, сначала определим сам контур и векторное поле.
Контур L задается двумя кривыми: y = x и y = x^2. Мы будем рассматривать область, ограниченную этими двумя кривыми, и вычислим циркуляцию векторного поля по этому контуру.
Сначала найдем точки пересечения кривых:
Теперь определим область, ограниченную этими кривыми. Для этого построим график, чтобы увидеть, как они пересекаются. Кривая y = x^2 лежит ниже прямой y = x в области от 0 до 1.
Теперь применим формулу Грина для вычисления циркуляции. Формула Грина гласит:
∮(P dx + Q dy) = ∬(Qx - Py) dA,
где P и Q - компоненты векторного поля.
Предположим, что векторное поле задано как F = (P, Q), где P и Q могут быть любыми функциями. Для примера, давайте возьмем P = 0 и Q = 1. Тогда:
Теперь подставим в формулу:
∮(P dx + Q dy) = ∬(0 - 0) dA = 0.
Это означает, что циркуляция векторного поля F по контуру L равна нулю.
Таким образом, итоговый ответ:
Циркуляция векторного поля по контуру L равна 0.