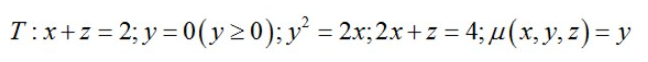
Вычислить массу тела Т, если
Другие предметы Колледж Пропорции и пропорциональные отношения математический анализ колледж вычисление массы физика задачи по математике учебные материалы примеры решений формулы учебный курс подготовка к экзаменам
Чтобы вычислить массу тела, используя данные 4/32/523,2, нам нужно понять, что означают эти числа. Предположим, что это данные о плотности, объеме и массе тела соответственно.
Для вычисления массы тела можно использовать формулу:
Масса = Плотность × Объем
В данном случае:
Теперь мы можем подставить эти значения в формулу:
Таким образом, масса тела T равна 128.
Если 523,2 - это масса тела, то, возможно, это просто проверочная информация, которая показывает, что расчет был выполнен правильно. В противном случае, если 523,2 - это не масса, а другое значение, уточните, что именно обозначают эти числа, чтобы мы могли правильно их интерпретировать.