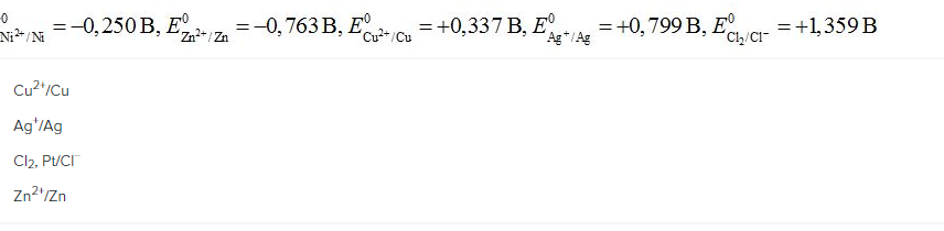
Анодом в гальваническом элементе с никелевым катодом может служить: 
  
Другие предметы Университет Гальванические элементы и электрохимия анод гальванический элемент никелевый катод химия университет электрохимия анодные материалы
В гальваническом элементе анодом называют электрод, на котором происходит окисление. В случае с никелевым катодом, важно выбрать материал для анода, который будет окисляться, обеспечивая движение электронов через внешний цепь.
В качестве анода в гальваническом элементе с никелевым катодом могут служить следующие материалы:
Таким образом, наиболее распространенным и подходящим выбором будет цинк, так как он эффективно окисляется и обеспечивает необходимый поток электронов к никелевому катоду.