Чему равен момент импульса материальной точки относительно полюса О? 
 
 
Другие предметы Университет Момент импульса момент импульса материальная точка полюс О физика университет
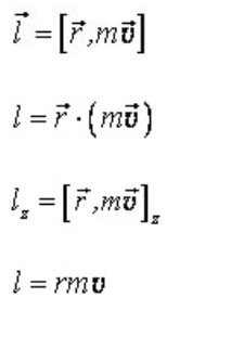
Момент импульса материальной точки относительно некоторой точки (в данном случае, полюса О) можно рассчитать с помощью формулы:
L = r × p
Где:
Теперь давайте рассмотрим шаги для вычисления момента импульса:
Таким образом, момент импульса материальной точки относительно полюса О зависит от радиус-вектора и линейного импульса. Если вам известны значения массы, скорости и расстояния, вы сможете легко рассчитать момент импульса.