Чему равна кинетическая энергия катящегося тела?




Другие предметы Университет Кинетическая энергия кинетическая энергия катящееся тело физика университет формула кинетической энергии движение тел механика физика для студентов
Кинетическая энергия катящегося тела определяется как сумма его поступательной и вращательной кинетической энергии. Давайте разберем, как это происходит шаг за шагом.
1. Поступательная кинетическая энергия:
2. Вращательная кинетическая энергия:
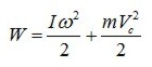
3. Общая кинетическая энергия:
4. Момент инерции:
5. Угловая скорость и связь с линейной:
Теперь, подставив выражение для угловой скорости в формулу вращательной кинетической энергии, мы можем выразить общую кинетическую энергию катящегося тела в терминах только линейной скорости:
E = (1/2) * m * v² + (1/2) * I * (v/r)².
Таким образом, кинетическая энергия катящегося тела зависит как от его массы и скорости, так и от момента инерции, который зависит от формы тела.