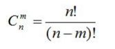
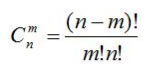
Число сочетаний из л элементов по m вычисляется по формуле:




Другие предметы Университет Комбинаторика число сочетаний математический анализ формула сочетаний комбинаторика элементы по m университетский курс задачи по математическому анализу
Число сочетаний из l элементов по m обозначается как C(l, m) и вычисляется по следующей формуле:
C(l, m) = l! / (m! * (l - m)!)
Где:
Теперь давайте разберем шаги, как использовать эту формулу:
Например, если l = 5 и m = 2, то:
Таким образом, количество сочетаний из 5 элементов по 2 равно 10.