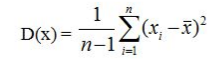
Дана выборка х= (х1, х2...хn). Несмещенную оценку дисперсии этой выборки можно найти по формуле:




Другие предметы Университет Оценка параметров распределения теория вероятностей математическая статистика несмещенная оценка дисперсия выборки формула дисперсии выборка х статистические методы университетская программа анализ данных вероятностные модели
Чтобы найти несмещенную оценку дисперсии выборки, мы можем использовать следующую формулу:
Несмещенная оценка дисперсии:
S^2 = (1 / (n - 1)) * Σ(xi - x̄)²
Где:
Теперь давайте разберем шаги, которые необходимо выполнить для вычисления несмещенной оценки дисперсии:
Таким образом, вы получите несмещенную оценку дисперсии вашей выборки. Этот подход позволяет учитывать случайные ошибки и дает более точную оценку дисперсии для конечной выборки данных.