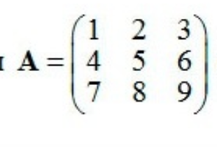
Для данной матрицы найти транспонированную: 
  
 
 Варианты ответа: 
 
Другие предметы Университет Транспонирование матриц линейная алгебра аналитическая геометрия университет матрица транспонированная матрица задачи по линейной алгебре решение матриц
Чтобы найти транспонированную матрицу, давайте сначала вспомним, что такое транспонирование. Транспонирование матрицы - это процесс, при котором строки матрицы становятся столбцами, а столбцы - строками.
Предположим, у нас есть матрица A следующего вида:
A = | a11 a12 a13 |
    | a21 a22 a23 |
    | a31 a32 a33 |
Тогда транспонированная матрица A^T будет выглядеть так:
A^T = | a11 a21 a31 |
      | a12 a22 a32 |
      | a13 a23 a33 |
Теперь давайте рассмотрим шаги, которые нужно выполнить для нахождения транспонированной матрицы:
Например, если у нас есть матрица:
B = | 1 2 3 |
    | 4 5 6 |
Тогда ее транспонированная матрица будет:
B^T = | 1 4 |
      | 2 5 |
      | 3 6 |
Если у вас есть конкретная матрица, для которой вам нужно найти транспонированную, пожалуйста, предоставьте ее, и я помогу вам с решением!