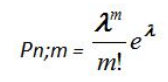
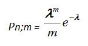
Если в схеме Бернулли р - малая величина и λ = np, то вероятность Pn; m того, что при n испытаниях событие А произойдет m раз можно найти по приближенной формуле:




Другие предметы Университет Вероятностные распределения математический анализ схема Бернулли вероятность испытания событие А приближенная формула университет статистика дискретные распределения теорема о вероятностях
В схеме Бернулли, когда вероятность успеха p является малой величиной, мы можем использовать приближенную формулу для вычисления вероятности P(n, m), что событие A произойдет m раз в n испытаниях. Эта вероятность может быть выражена через распределение Пуассона.
Для начала, давайте вспомним, что в схеме Бернулли:
Когда p мал, а n велико, мы можем использовать распределение Пуассона, где λ (лямбда) определяется как λ = np. Это означает, что среднее число успешных исходов в n испытаниях будет равно np.
Приближенная формула для вероятности того, что событие A произойдет m раз, выглядит следующим образом:
P(n, m) ≈ (λ^m * e^(-λ)) / m!
Где:
Теперь давайте рассмотрим шаги для использования этой формулы:
Таким образом, используя данную приближенную формулу, вы сможете находить вероятность успешных исходов в условиях, когда p является малой величиной, а n достаточно велико.