Формулой полной вероятности является...

Другие предметы Университет Теория вероятностей формула полной вероятности дополнительные главы математики университетская математика теория вероятностей учебник по математике
Формула полной вероятности используется в теории вероятностей для вычисления вероятности события, основываясь на разбиении пространства элементарных исходов на несколько несовместных событий. Давайте разберем, что это значит и как она применяется.
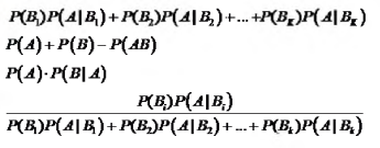
Определение: Если у нас есть несколько несовместных событий A1, A2, ..., An, которые образуют полное пространство (то есть одно из этих событий обязательно произойдет), и есть событие B, то вероятность события B может быть рассчитана с помощью формулы полной вероятности следующим образом:
P(B) = P(B | A1) * P(A1) + P(B | A2) * P(A2) + ... + P(B | An) * P(An)
Где:
Шаги для применения формулы:
Пример:
Предположим, у нас есть три мешка с шарами:
Найдите вероятность того, что выбранный шар будет красным (событие B).
Решение:
Теперь подставляем в формулу:
P(B) = (2/5)*(1/3) + (4/5)*(1/3) + (1/5)*(1/3) = (2 + 4 + 1) / 15 = 7/15.
Таким образом, вероятность того, что выбранный шар будет красным, равна 7/15.
Эта формула полезна в различных областях, таких как статистика, экономика и другие науки, где необходимо учитывать различные сценарии и их вероятности.