Измеряется сила переменного тока. Информативными параметрами переменного тока являются
Другие предметы Университет Измерение электрических величин метрология стандартизация сертификация переменный ток параметры тока средневыпрямленное значение частота тока среднеквадратическое значение амплитудное значение университет МСиС
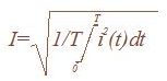
При измерении силы переменного тока важно учитывать несколько информативных параметров, которые позволяют полностью охарактеризовать электрический ток. Давайте рассмотрим каждый из них подробнее:
Каждый из этих параметров имеет свое значение и используется в зависимости от задачи, которую необходимо решить. Например, если мы хотим оценить работу электрического устройства, нам будет важно знать среднеквадратическое значение тока. Если же мы занимаемся проектированием цепи, то частота и амплитудное значение будут ключевыми. Понимание этих параметров поможет вам более эффективно работать с переменным током и его измерениями.