Как связаны линейное и фазное напряжения?

Другие предметы Университет Электрические цепи переменного тока безопасность жизнедеятельности БЖД гроб ОБЖ университет линейное напряжение фазное напряжение электрические цепи основы электротехники безопасность в электросетях
Линейное и фазное напряжения являются важными понятиями в электротехнике, особенно в контексте трехфазных систем. Давайте разберемся, как они связаны друг с другом.
Определения:
Связь между линейным и фазным напряжениями:
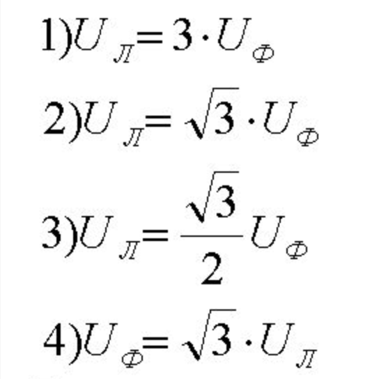
В трехфазной системе с симметричными нагрузками существует четкая математическая связь между линейным и фазным напряжением. Эта связь зависит от типа соединения: звезда (Y) или треугольник (Δ).
Итог: Таким образом, связь между линейным и фазным напряжениями зависит от типа соединения в трехфазной системе. В соединении "звезда" линейное напряжение больше фазного в √3 раз, а в соединении "треугольник" они равны. Понимание этой связи важно для правильного расчета и анализа электрических систем.