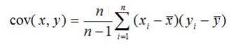
Ковариация между выборками х = (х1, х2,...хn) и у= (у1, у2....yn), вычисляется по формуле:




Другие предметы Университет Ковариация и корреляция ковариация выборки теория вероятностей математическая статистика вычисление ковариации формула ковариации статистические методы университетская статистика
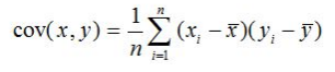
Ковариация между двумя выборками x и y измеряет, как изменения в одной выборке связаны с изменениями в другой. Чтобы вычислить ковариацию, мы можем использовать следующую формулу:
Формула для ковариации:
Cov(X, Y) = (1/n) * Σ((xi - mx) * (yi - my)),
где:
Теперь давайте разберем шаги, которые нужно выполнить для вычисления ковариации:
Таким образом, вы получите значение ковариации, которое покажет, как связаны изменения в выборках X и Y. Если ковариация положительная, это означает, что обе переменные имеют тенденцию изменяться в одном направлении. Если ковариация отрицательная, это указывает на то, что они изменяются в противоположных направлениях.