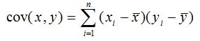
Ковариация между выборками х = (x1, x2,....xп) и у= (y1, y2,...yп), вычисляется по формуле:




Другие предметы Университет Статистика ковариация выборки математический анализ формула статистика х у вычисление университет методика
Ковариация – это мера того, как две переменные изменяются вместе. Если ковариация положительная, это означает, что по мере увеличения одной переменной другая также увеличивается. Если ковариация отрицательная, то по мере увеличения одной переменной другая уменьшается. Чтобы вычислить ковариацию между выборками x и y, мы можем использовать следующую формулу:
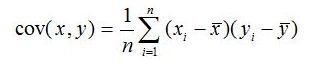
Формула ковариации:
Cov(x, y) = (1/n) * Σ((xi - x̄) * (yi - ȳ))
где:
Теперь давайте рассмотрим шаги для вычисления ковариации:
Таким образом, вы получите значение ковариации между выборками x и y. Это значение поможет вам понять, как связаны эти две переменные.