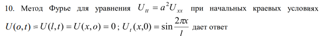
Метод Фурье для уравнения при начальных краевых условиях дает ответ

Другие предметы Университет Метод Фурье Метод Фурье уравнение начальные краевые условия математика университет решение анализ функции Дифференциальные уравнения
Метод Фурье является мощным инструментом для решения уравнений с частными производными, особенно в задачах, связанных с волнами и теплопроводностью. Давайте рассмотрим, как он применяется для решения уравнений с начальными и краевыми условиями.
Общая идея метода Фурье заключается в разложении функции на ряд Фурье. Это позволяет нам представить сложные функции в виде суммы простых синусоидальных функций. Далее, мы можем использовать эти разложения для решения уравнений.
Рассмотрим шаги, которые необходимо выполнить для применения метода Фурье к уравнению с начальными и краевыми условиями:
Таким образом, метод Фурье позволяет эффективно решать задачи с начальными и краевыми условиями, обеспечивая возможность анализа поведения решения в зависимости от различных параметров. Важно помнить, что каждая конкретная задача может иметь свои особенности, и подход к решению может варьироваться.