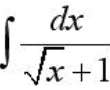
Найти интеграл ∫ dx / (√x + 1) 
 
Другие предметы Университет Неопределённый интеграл интеграл высшая математика университет интегрирование математический анализ логарифмическая функция корень из x учебные задачи математические формулы подготовка к экзаменам
Для того чтобы найти интеграл ∫ dx / (√x + 1) ln│√x + 1│, начнем с упрощения выражения, которое мы интегрируем.
1. Заменим переменную для удобства:
2. Подставляя в интеграл, получим:
3. Теперь упростим интеграл:
4. Разделим на два отдельных интеграла:
5. Интеграл ∫ (2 / ln|u|) du можно решить с помощью интегрирования по частям или специальными функциями, но он может быть сложным. Поэтому мы можем оставить его в виде:
6. Интеграл ∫ (2/u ln|u|) du также может быть решен через специальные функции, такие как интеграл Логарифма.
7. После нахождения обоих интегралов, не забудьте вернуть переменные обратно, подставив u = √x + 1.
8. В итоге, общий вид интеграла будет:
где F - это найденные интегралы, а C - константа интегрирования.
Таким образом, мы получили общее решение для данного интеграла. Если у вас есть дополнительные вопросы по конкретным шагам, не стесняйтесь спрашивать!